26 Kasım 2025 Çarşamba


10:32   “KADıNLAR YAŞASıN DIYE İSTANBUL SÖZLEŞMESI YAŞATıLMALı: DR. ŞEVKIN’DEN TBMM’DE ÇARPıCı MESAJ”   09:25   “MERSIN, İKLIM LIDERLIĞINDE ZIRVEYE TıRMANıYOR: CDP’DE ‘A’ NOTUYLA DÜNYA SAHNESINDE”   17:36   ŞANLıURFA ADLIYE SARAYı’NDA PATLAMA… VALI ŞıLDAK: “TEKNIK YÖNÜYLE INCELENIP PATLAMANıN SEBEBI ORTAYA KONULACAK”   17:33   ŞANLıURFA ADALET SARAYı’NDA PATLAMA   17:32   CHP KADıN KOLLARı GENEL BAŞKANı KAYA: "BU IKTIDARıN POLITIKASı KADıNLARı KORUMAK DEĞIL, KADıNLARı SUSTURMAK"   17:28   ÖZGÜR ÖZEL’DEN 25 KASıM MESAJı: “İKTIDARA GELDIĞIMIZDE, KADıNA YÖNELIK ŞIDDETE KARŞı ATıLMASı GEREKEN ADıMLARı CESARETLE ATACAĞıZ”   17:25   2026 BÜTÇESI PLAN VE BÜTÇE KOMISYONU’NDA… KADıNLARıN ŞIDDETI ANLATTıKLARı MEKTUPLARı VEREN CHP’LI KAYA’YA BAKAN TUNÇ’TAN “ŞOV YAPMA” TEPKISI   10:30   TARSUS’TA DÜŞÜNCE ŞÖLENI: 5. FELSEFE FESTIVALI GERÇEKLEŞTI   01:01   SEÇER: “MERSIN’IN BÜTÇESI GÜÇLÜ, HIZMETLERIMIZ KARARLı – 2026’DA YATıRıMLAR DAHA DA ARTACAK”   16:30   TOROSLAR BELEDIYE BAŞKANı ABDURRAHMAN YıLDıZ’DAN 25 KASıM MESAJı   16:25   MEZITLI BELEDIYE BAŞKANı TUNCER, “GELECEĞIMIZ ÖĞRETMENLERIN EMEĞIYLE ŞEKILLENIYOR”   16:23   MERSIN BÜYÜKŞEHIR’IN EMEKTAR ÖĞRETMENLERINDEN, BAŞKAN SEÇER’E ZIYARET   15:01   ULUSLARARASı AKDENIZ SINEMALARı BULUŞMASı BAŞLıYOR   14:55   CHP’LI KıŞ: "BU ÜLKEYI EŞITLIKLE, ADALETLE, CESARETLE KADıNLAR AYAĞA KALDıRACAK"   14:54   CHP GENEL BAŞKANı ÖZEL: “ÖĞRETMENLERIN HAK ETTIKLERI DEĞERI GÖRECEKLERI GÜNLER ÇOK YAKıN”   14:49   ÖĞRETMENLERIN MESAISINI "YÜZ TANıMA SISTEMI" ILE KONTROL EDEN ÖZEL OKULDA 700 BIN LIRA CEZA   14:25   5. YENIŞEHIR KOMEDI OYUNLARı FESTIVALI BINLERCE SANATSEVERI AĞıRLADı   14:20   TOROSLAR BELEDIYESI, YOL VE KALDıRıM ÇALıŞMALARıNDA HıZ KESMIYOR   14:15   MERSIN BÜYÜKŞEHIR’IN KADıN ODAKLı HIZMETLERI ŞIDDETE KARŞı KENT STRATEJISINE DÖNÜŞÜYOR   14:06   TARSUS BELEDIYE BAŞKANı BOLTAÇ’TAN 24 KASıM ÖĞRETMENLER GÜNÜ MESAJı  
 
     
   

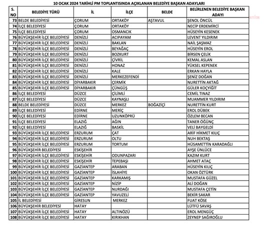
CHP PM 242 SEÇİM ÇEVRESİNDE BELEDİYE BAŞKAN ADAYLARINI BELİRLEDİ… İŞTE TAM LİSTE


CHP Parti Meclisi toplantısında 242 seçim çevresinde daha belediye başkan adayları belirlendi.

 

Tarih : 11 Ocak 2024 Perşembe 02:16   Okunma : 1062

CHP Parti Meclisi toplantısında 242 seçim çevresinde daha belediye başkan adayları belirlendi.

CHP Parti Meclisi toplantısında 242 seçim çevresi için belediye başkan adayları belirlendi. CHP Sözcüsü Deniz Yücel; altı büyükşehir belediyesi, 15 il belediyesi, 189 ilçe belediyesi ve 33 belde belediyesinde başkan adayının belirlendiğini açıkladı. 

 






Paylaş :
Etiketler :  

Yorum Ekle comment Yorumlar (0)

Yapılan yorumlarda IP Bilgileriniz kayıt altına alınmaktadır..!





  GÜNCEL HABERLER

 
  FLAŞ HABER
   
  YAZARLAR
 


 
  EN ÇOK OKUNANLAR
  • Bu Ay
  • Bu Hafta
  • Dün
  • Bugün
 
 


  SOSYAL MEDYA


  GAZETELER
 
 

 







mersinerji.com
ANKA Haber Ajansı
Abonesidir

 
 
ANASAYFA İLETİŞİM KÜNYE HABER ARŞİVİ GİZLİLİK İLKELERİ

 
Siteden yararlanırken gizlilik ilkelerini okumanızı tavsiye ederiz..!
altioksiyaset.com © Copyright 2017-2025 Tüm hakları saklıdır..! İzinsiz ve kaynak gösterilemeden yayınlanamaz, kopyalanamaz, kullanılamaz..!

URA MEDYA